|
ششم و متوسطه اول
|
||
|
آگاهی انسانی، آگاهی اجتماعی |

با توجه به تابلوی بالا، اعداد زیر را به درصد تبدیل کنید:
%...=45.5
%...=0.13
%...=1.7
%...=200
%...=5.5
%...=0.5
آیا می توانید نظام موجود در تابلوی بالا را شرح دهید؟

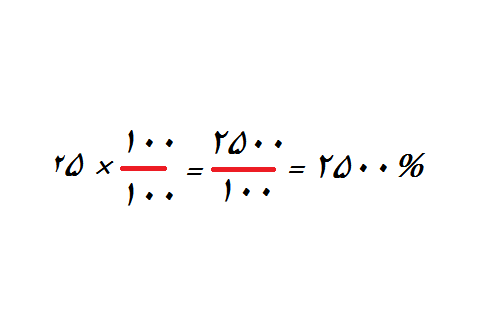
200%=200/100=100/100×2=2
% ... = 233
% ... = 2.3
% ... = 0.5
% ... = 2.35

200%=200/100=100/100×2=2
% ... = 233
% ... = 2.3
% ... = 0.5
% ... = 2.35
آیا می توانید نظام موجود را بیان کنید؟
|
|