ششم و متوسطه اول
 
 
آگاهی انسانی، آگاهی اجتماعی  
 

 

   دو ظرف مشابه داریم که یکی خالی و دیگری مملو از آب است.

با چه وسیلـه ای می توانیـم، مایـع را در دو ظـرف به طـور مساوی

تقسیم کنیم؟ روش کار را توضیح دهید.

 


برچسب‌ها: علوم تجربی, تعبیر و تفسیر, ابزارهای اندازه گیری, توضیح دادن
 |+| نوشته شده در  شنبه ۱۷ آبان ۱۳۹۹ساعت 17:51  توسط بهمن طالبی  | 

 

   تابلوی بالا یک تقسیم کسری را نمایش می دهد. تقسیم مربوطه را

بنویسید و درستی حدس خود را با انجام تقسیم بیازمایید.

 


برچسب‌ها: ریاضی, تقسیم کسرها, تعبیر و تفسیر, آزمون فرضیه
 |+| نوشته شده در  جمعه ۲۱ شهریور ۱۳۹۹ساعت 11:1  توسط بهمن طالبی  | 

 

   تابلوی بالا یک تقسیم کسری را نشان می دهد. تقسیم مربوطه را

بنویسید و درستی حدس خود را به وسیله ی انجام تقسیم بیازمایید.

 


برچسب‌ها: ریاضی, تعبیر و تفسیر, آزمون فرضیه, تقسیم کسرها
 |+| نوشته شده در  پنجشنبه ۲۰ شهریور ۱۳۹۹ساعت 11:0  توسط بهمن طالبی  | 

 

 

   تابلوی بالا مربوط به یک تقسیم کسری است. آن را بنویسیـد

و درستی حدس خود را با انجام آن و مطابقت با تصویر بیازمایید.  

 


برچسب‌ها: ریاضی, تقسیم کسرها, تعبیر و تفسیر, آزمون فرضیه
 |+| نوشته شده در  چهارشنبه ۱۹ شهریور ۱۳۹۹ساعت 10:17  توسط بهمن طالبی  | 

 

 

   تابلوی بالا مربوط به یک تقسیم کسری است. آن تقسیم را بنویسید

و بعد از آزمــون درستـی حدسی که زده ایـد، برای دوست خود در چند

جمله مفهـوم شکل را توضیح دهید، و بگوییـد که چگونه در حل تقسیم

یا درک آن به ما یاری می کند.

 


برچسب‌ها: ریاضی, تعبیر و تفسیر, توضیح, آزمون فرضیه
 |+| نوشته شده در  سه شنبه ۱۸ شهریور ۱۳۹۹ساعت 10:57  توسط بهمن طالبی  | 

 

 

   تابلوی بالا یک مفهـوم ریاضی را نشان می دهد. در باره ی این

مفهوم هر چه تاکنون یادگرفته اید را بر روی کاغذ بنویسید و برای

هر مورد یک مثال بزنید. نوشته ی خود را با دوستان خود مقایسه

کنیـد و ببینـید آن ها به چه مواردی اشاره کرده اند که شمـا از آن

غافل بوده اید.

 


برچسب‌ها: ریاضی, تعبیر و تفسیر, توضیح, تحلیل
 |+| نوشته شده در  شنبه ۱ شهریور ۱۳۹۹ساعت 10:54  توسط بهمن طالبی  | 

 

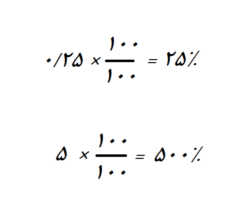
   عنوانی برای تابلوی بالا انتخاب کنید و سپس در چند جمله

موضوع مورد بحث در آن را شرح دهید. 

 


برچسب‌ها: ریاضی, تعبیر و تفسیر, تحلیل, توضیح
 |+| نوشته شده در  جمعه ۳۱ مرداد ۱۳۹۹ساعت 11:14  توسط بهمن طالبی  | 

 

   با بررسی تابلـوی بالا، عنوان مناسبـی برای آن انتخاب کنیـد و

در چند جمله بگویید چه کاری صورت گرفته است. سپس با چند

مثال دیگر درستی نظر خود را بررسی کنید.

 


برچسب‌ها: ریاضی, تعبیر و تفسیر, توضیح, مثال زدن
 |+| نوشته شده در  پنجشنبه ۳۰ مرداد ۱۳۹۹ساعت 10:25  توسط بهمن طالبی  | 

 

   فرض کنید دوست شما متوجه ی منظور تابلوی بالا نمی شود.

برای او در چند جملـه موضـوع را تعریف کنید و با چند مثال عددی

مطمئن شوید که او قضیه را متوجه شده است.

 


برچسب‌ها: ریاضی, تعبیر و تفسیر, توضیح, تحلیل
 |+| نوشته شده در  چهارشنبه ۲۹ مرداد ۱۳۹۹ساعت 10:34  توسط بهمن طالبی  | 

 

   برای دوست خود توضیـح دهید از تابلوی بالا چه دستگیرتان

می شود. سپـس با چند مثال عددی، توضیـح خود را تکمیـل

کنید.

 


برچسب‌ها: ریاضی, تعبیر و تفسیر, توضیح, تحلیل
 |+| نوشته شده در  دوشنبه ۲۷ مرداد ۱۳۹۹ساعت 10:35  توسط بهمن طالبی  | 

 

 

   تابلوی بالا در باره ی چه مـوضوعی با شمـا سخن می گوید؟

آیا مـی توانیـد همـه ی اطلاعاتـی که از آن به دست مـی آورید

را فهرست کنید؟

   استنباط های خود را با دوستانتان در میـان بگذارید و آنها را با

هم مقایسه کنید.

 


برچسب‌ها: ریاضی, تعبیر و تفسیر, تحلیل, توضیح
 |+| نوشته شده در  یکشنبه ۲۶ مرداد ۱۳۹۹ساعت 10:22  توسط بهمن طالبی  | 

 

 

 

   فرض کنید نقطه ی E  روی ضلع AB  مثل یک گیـره ی روی

چوب پرده حرکت کند. چه رابطه ای بین مساحت مثلث های

ایجاد شده با مستطیل ABCD وجود خواهد داشت؟ 

 


برچسب‌ها: ریاضی, تعبیر و تفسیر, تحلیل, استنباط
 |+| نوشته شده در  شنبه ۲۵ مرداد ۱۳۹۹ساعت 10:21  توسط بهمن طالبی  | 

 

   به نظر شما تابلوی بالا به خاطـر چه موضوعـی تهیه شده

است؟ نظر خود را در چند جملـه بنویسیـد، سپس نوشته ی

خود را با دوستانتان مقایسه کنید.


برچسب‌ها: مطالعات اجتماعی, تعبیر و تفسیر, مقایسه ی کردن, توضیح
 |+| نوشته شده در  پنجشنبه ۲۳ مرداد ۱۳۹۹ساعت 10:29  توسط بهمن طالبی  | 

 

   با دقت در تابلوی بالا، برای آن مسئله ی مناسبی طرح کنید

و سپس آن را حل کنید.

 


برچسب‌ها: ریاضی, تعبیر و تفسیر, مثال زدن, توضیح
 |+| نوشته شده در  چهارشنبه ۲۲ مرداد ۱۳۹۹ساعت 10:29  توسط بهمن طالبی  | 

 

   موضوعی که در تابلوی بالا به آن اشاره شده را در چند جمله

برای دوست خود تعریف کنید و با بیـان چند مثال عـددی توضیح

خود را تکمیل کنید.

 


برچسب‌ها: ریاضی, تعبیر و تفسیر, توضیح, تحلیل
 |+| نوشته شده در  سه شنبه ۲۱ مرداد ۱۳۹۹ساعت 10:34  توسط بهمن طالبی  | 

 

   تابلوی بالا در باره ی چه موضوعی با ما سخن می گوید؟ برای

دوست خود در چند جمله توضیح دهید.

 

 


برچسب‌ها: ریاضی, تعبیر و تفسیر, تحلیل, توضیح
 |+| نوشته شده در  یکشنبه ۱۹ مرداد ۱۳۹۹ساعت 10:27  توسط بهمن طالبی  | 

 

   فرض کنید می خواهیم یک شش ضلعی منتظم را با طول ضلع

معین رسم کنیم. چگونه این کار را انجام دهیم؟ تابلوی بالا در راه

رسیدن به این هدف چه کمکی به ما می کند؟با یک مثال عددی

حدس خود را بیازمایید.

 


برچسب‌ها: ریاضی, تعبیر و تفسیر, توضیح, تحلیل
 |+| نوشته شده در  پنجشنبه ۱۶ مرداد ۱۳۹۹ساعت 10:41  توسط بهمن طالبی  | 

 

   فرض کنید به دوستتان برای حل مسئلـه ی بالا راهنمـایی

می کنید. برای او توضیح دهید که مساحت قسمت رنگی را

چگونه محاسبه می کنید.

 


برچسب‌ها: ریاضی, توضیح, استدلال, استنتاج
 |+| نوشته شده در  یکشنبه ۱۲ مرداد ۱۳۹۹ساعت 10:37  توسط بهمن طالبی  | 

 

 

    اگر بخواهیم شکل بالا را با یک عبارت ریاضی بیان کنیم، چه

عبارت یا عبارت هایی را پیشنهاد می کنید؟

   با مهـارت های ضـرب و تـقسیـم و جمـع و تفـریـق کسرهـا،

فرضیه های خود را بیازمایید.

 


برچسب‌ها: ریاضی, تعبیر و تفسیر, پیشنهاد راه حل, تحلیل
 |+| نوشته شده در  جمعه ۱۰ مرداد ۱۳۹۹ساعت 10:40  توسط بهمن طالبی  | 

 

   در چند جمله بنویسید که چگونه می توانید یک دایره را به 6

کمان مساوی تقسیم می کنیم. از چه ابزار و یا ابزارهایی برای

این کار می توان استفاده کرد تا با دقت بیشتـری این کار صورت

گیرد؟

 


برچسب‌ها: ریاضی, تعبیر و تفسیر, تحلیل, توضیح
 |+| نوشته شده در  چهارشنبه ۸ مرداد ۱۳۹۹ساعت 10:0  توسط بهمن طالبی  | 
مطالب قدیمی‌تر
  بالا